Kesan Beriman Kepada Allah Tingkatan 2
Beriman kepada malaikat termasuk dalam kategori berikut KECUALI-. 1 Maksud Al Qadir dari segi istilah a Allah Maha Bijaksana dalam penciptaanNya b Allah Maha Berkuasa menentukan sesuatu berdasarkan kehendak dan ilmuNya c Allah Maha Mengetahui segala yang ada di bumi dan dilangit d Allah Maha Kuat dan mempunyai kekuatan yang sempurna 2 Kesan beriman kepada Allah bersifat Al Qawiy a Takut melakukan dosa dan.
Kesan Beriman Kepada Hari Akhirat By Shu Dani
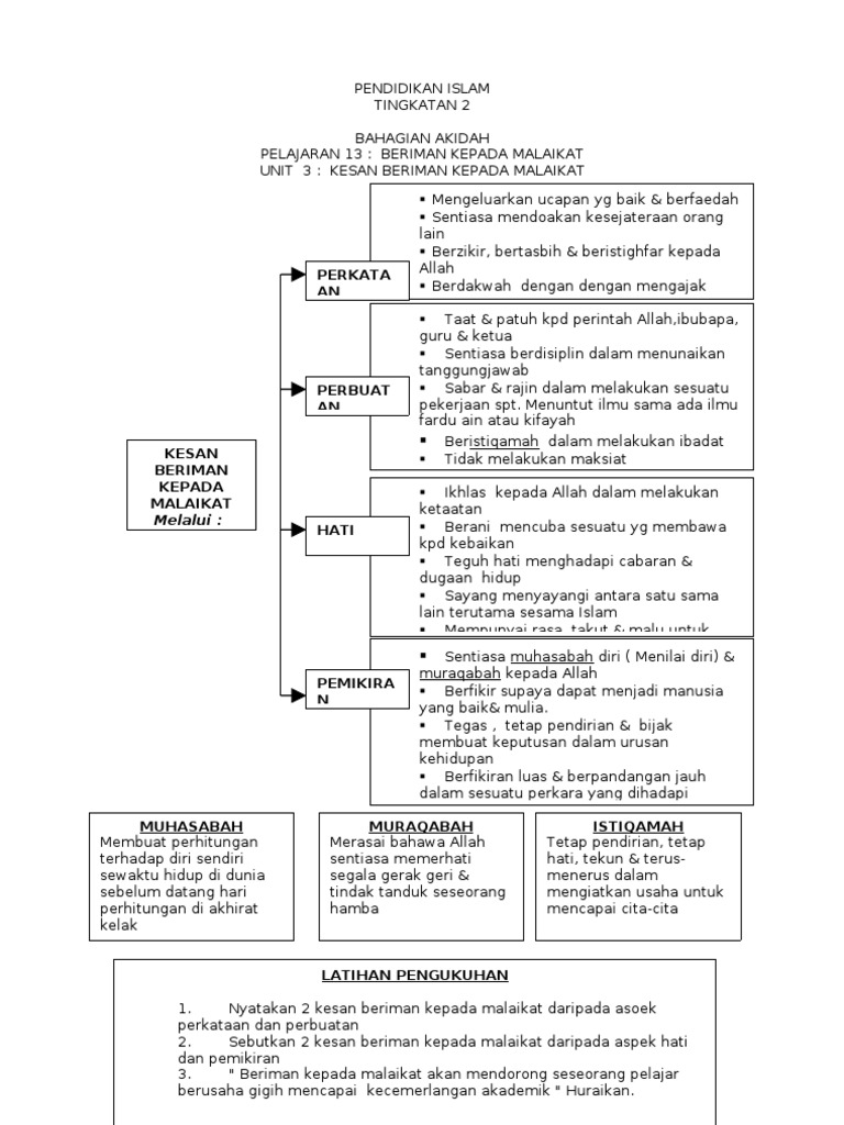
Menolak keimanan kepada malaikat membatalkan iman.
. Nyatakan pengertian beriman kepada Tauhid Rububiyaah Uluhiyah Asma Wa-Sifat. Demikian Penjelasan Materi Tentang Iman Kepada Allah. Berikut ini terdapat beberapa contoh cara beriman kepada Allah SWT yakni sebagai berikut.
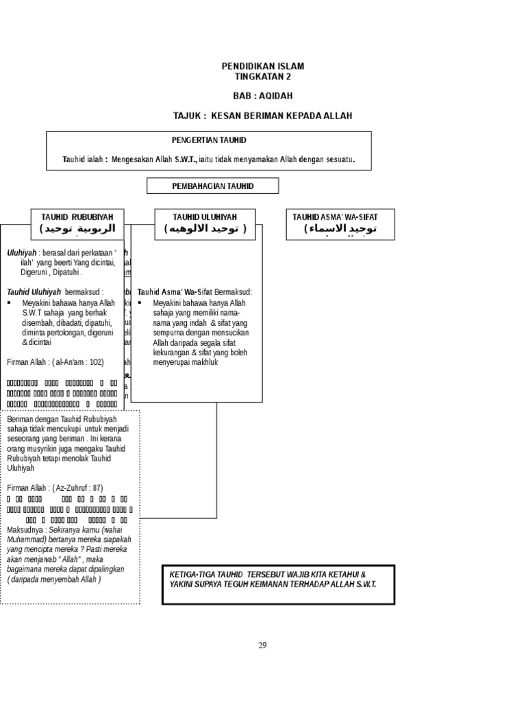
KESAN BERIMAN KEPADA ALLAH. Beriman kepada perkara ghaib. Al Asmaul Husna bermaksud nama-nama Allah SWT yang indah.
2 takut kepada allah 3 mentauhidkan allah swt dengan berdoabertawakaldan berharap 4 cinta yang mutlak kepada allah swt kesan beriman kepada allah swt 1 mengabdikan diri hanya kepada allah swt ikhlas dalam melakukan ibadah 2 menjauhi perkara mungkar dan bertaubat atas dosa yang dilakukan 3 berikhtiaryakin dan bertawakal kepada. Berdasarkan hadis Rasulullah SAW Allah SWT mempunyai 99 nama yang indah. Kesan beriman kepada kitab allah PILIH DAN SUSUN ID.
Ustaz memang pergi ke Makkah hampir setiap bulan atas urusan sebagai mutawif. Umat Islam wajib beriman kepada al- Asma al- Husna Berikut ialah kesan beriman kepadanya kecuali. Sesuaikan urusan perkahwinan dengan Sunnah Nabi.
2 hours agoKuliah kali ini berkisar mengenai isteri Firaun yang bernama Asiah bt Muzahir yang beriman kepada Allah swt. D Pada pendapat anda mengapakah kita perlu beriman kepada Al-Asmaul Husna. Mengesakan Allah SWT iaitu tidak menyamakan Allah dengan sesuatu.
Memudahkan kita berdoa mengikut kesesuaian permintaan. Contoh Cara Beriman Kepada Allah. Aku tak sedar pun adik pompuan aku yg sorang ni dah besar.
TAUHID Add to my workbooks 2 Download file pdf Embed in my website or blog Add to Google Classroom. Sesungguhnya yang layak memakmurkan menghidupkan masjid Allah ialah orang yang beriman kepada Allah SWT dan hari akhirat serta mendirikan solat dan menunaikan zakat. Pendidikan islam tingkatan 2.
Tidak takut melainkan kepada Allah SWT dengan adanya sifat yang tersebut maka diharapkan mereka menjadi golongan orang yang mendapat petunjuk. 30 Questions Show answers. Beriman kepada kitab Other contents.
Dapat mendekatkan diri kepada Allah 2 markah e Nyatakan dua kesan beriman dengan al-Asmaul Husna. Menyatakan maksud ayat secara ringkas maksud allah bersifat al-hakim tanda allah bersifat al-hakim kesan beriman kepada al-hakim amalan yang bercanggah dengan konsep al-hakim perbincangan tentang dalil naqli dan aqli bahawa allah bersifat al-hakim ketika. Terangkan pengertian Tauhid.
20-06-2014 Ustaz Halim Hassan. Latihan Akidah Tingkatan 2 BAHAGIAN AQIDAH. Pengertian Dalil Hikmah Rukun Tingkatan Ciri Sifat dan Contoh Semoga Materinya Bermanfaat Bagi Siswa-Siswi.
Tajuk 11 Beriman Kepada Al Asmaul Husna. Allah bersifat al-hakim typo jungkook.
Akidah Beriman Kepada Hari Akhirat Flip Ebook Pages 1 17 Anyflip
Beriman Kepada Allah Lessons Blendspace
Beriman Kepada Allah Flip Ebook Pages 1 8 Anyflip
Kesan Beriman Kepada Allah Madalynngwf
Unit 4 Kesan Beriman Kepada Rasul Pdf
Kesan Beriman Kepada Allah By Muhammad Mohd Zaiddy
Pdp Tingkatan 1 Yik Matapelajaran Pendidikan Islam Facebook
Nyatakan Dua Kesan Beriman Kepada Al Quran Sumber Pengajaran
Actividad Online De Beriman Kepada Allah
Beriman Kepada Allah Flip Ebook Pages 1 6 Anyflip
Pend Islam Tingkatan 1 Pelajaran 15 Beriman Kepada Allah Swt Bersama Ustazah Adura Youtube
Beriman Kepada Allah Flip Ebook Pages 1 6 Anyflip
Bab 15 Beriman Kepada Allah Flip Ebook Pages 1 11 Anyflip
Kesan Beriman Kepada Qada Dan Qadar Sorcsnee
Akidah T2 P12 Kesan Beriman Kpd Allah Pdf
Dua Kesan Beriman Kepada Allah Swt Sumber Pengajaran
Akidah T2 13 3 Kesan Beriman Kpd Malaikat Pdf

Comments
Post a Comment